Facebook
Youtube
Matematika
Lietuvių kalba
Anglų kalba
Prancūzų kalba
IT
Fizika
Dailė
Programavimas
Scratch programavimas
Python programavimas
C++ programavimas
Paieška
Facebook
Youtube
Mokytojams
Savanoriams
Apie projektą
Parama
Prisijungti
Sveiki atvykę! prisijunkite prie savo paskyros
Jūsų vardas
Jūsų slaptažodis
Forgot your password? Get help
Slaptažodžio grąžinimas
Atgauti savo slaptažodį
jūsų e-paštas
Slaptažodis bus elektroniniu paštu Jums.
Vaizdopamokos.lt – nemokamas korepetitorius
Matematika
Lietuvių kalba
Anglų kalba
Prancūzų kalba
IT
Fizika
Dailė
Programavimas
Scratch programavimas
Python programavimas
C++ programavimas
Pradžia
2014
Archyvai
Tiesinių lygčių sistemos. Teorija. (1)
Drąsutė Jatkonienė
-
6 lapkričio, 2014
0
Tiesinių lygčių sistemos. Grafinis sprendimas. (5)
Drąsutė Jatkonienė
-
6 lapkričio, 2014
0
Tiesinių lygčių sistemos. Sistemos sudarymas. (2)
Drąsutė Jatkonienė
-
6 lapkričio, 2014
0
Tiesinių lygčių sistemos. Kaip suderinti paklausą ir pasiūlą. (6)
Drąsutė Jatkonienė
-
6 lapkričio, 2014
0
Tiesinių lygčių sistemos. Sprendimas keitimo būdu. (3)
Drąsutė Jatkonienė
-
6 lapkričio, 2014
0
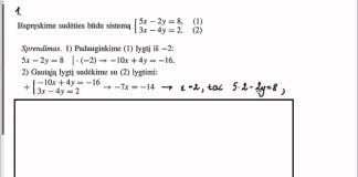
Tiesinių lygčių sistemos. Sprendimas sudėties būdu. (4)
Drąsutė Jatkonienė
-
6 lapkričio, 2014
0