Facebook
Youtube
Matematika
Lietuvių kalba
Anglų kalba
Prancūzų kalba
IT
Fizika
Dailė
Programavimas
Scratch programavimas
Python programavimas
C++ programavimas
Paieška
Facebook
Youtube
Mokytojams
Savanoriams
Apie projektą
Parama
Prisijungti
Sveiki atvykę! prisijunkite prie savo paskyros
Jūsų vardas
Jūsų slaptažodis
Forgot your password? Get help
Slaptažodžio grąžinimas
Atgauti savo slaptažodį
jūsų e-paštas
Slaptažodis bus elektroniniu paštu Jums.
Vaizdopamokos.lt – nemokamas korepetitorius
Matematika
Lietuvių kalba
Anglų kalba
Prancūzų kalba
IT
Fizika
Dailė
Programavimas
Scratch programavimas
Python programavimas
C++ programavimas
Pradžia
2014
Archyvai
Šaknys. Šaknų daugyba.
Aistė Ignatavičienė
-
18 lapkričio, 2014
0
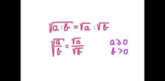
Šaknys. Šaknų dalyba.
Aistė Ignatavičienė
-
18 lapkričio, 2014
0
Šaknys. Reiškiniai su kvadratinėmis šaknimis.
Aistė Ignatavičienė
-
18 lapkričio, 2014
0
Šaknys. Greitosios daugybos formulių taikymas.
Aistė Ignatavičienė
-
18 lapkričio, 2014
0
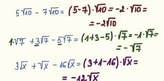
Šaknys. Šaknų suma.
Aistė Ignatavičienė
-
5 lapkričio, 2014
1
Šaknys. Kvadratas ir kvadratinė šaknis
Aistė Ignatavičienė
-
30 spalio, 2014
0