Facebook Youtube
  • Matematika
  • Lietuvių kalba
  • Anglų kalba
  • Prancūzų kalba
  • IT
  • Fizika
  • Dailė
  • Programavimas
    • Scratch programavimas
    • Python programavimas
    • C++ programavimas
Paieška
Facebook Youtube
  • Mokytojams
  • Savanoriams
  • Apie projektą
  • Parama
Prisijungti
Sveiki atvykę! prisijunkite prie savo paskyros
Forgot your password? Get help
Slaptažodžio grąžinimas
Atgauti savo slaptažodį
Slaptažodis bus elektroniniu paštu Jums.
vaizdopamokos.lt vaizdopamokos.lt Vaizdopamokos.lt – nemokamas korepetitorius
  • Matematika
  • Lietuvių kalba
  • Anglų kalba
  • Prancūzų kalba
  • IT
  • Fizika
  • Dailė
  • Programavimas
    • Scratch programavimas
    • Python programavimas
    • C++ programavimas
Pradžia Matematika Puslapis 36

Matematika

7 dienų populiariausios
  • Paskutinis
  • Išskirtinės pamokos
  • Populiariausios
  • 7 dienų populiariausios
  • Pagal peržiūrų kiekį
  • Atsitiktine tvarka

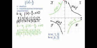
Funkcijų savybės. Kaip iš grafiko užrašyti funkcijos savybes.

Loreta Kablytė - 19 sausio, 2015

Skaitiniai reiškiniai, lygtys (kartojimas)

Ritinio paviršiaus plotas

Trupmeninių reiškinių prastinimas

Stačiojo trikampio smailiojo kampo sinusas, kosinusas ir tangentas

Braižome parabolę

Loreta Kablytė - 2 kovo, 2015 0

Daugybos kartojimas

Drąsutė Jatkonienė - 1 balandžio, 2020 0

Perimetras

Aušra Bielskienė - 10 liepos, 2012 1

Sinuso funkcija

Drąsutė Jatkonienė - 10 vasario, 2014 0

Išvestinės. Matematikos valstybinis brandos egzaminas.

Aistė Ignatavičienė - 4 gegužės, 2015 0

Lygtys su kvadratinėmis šaknimis (Valstybinis brandos egzaminas)

Aistė Ignatavičienė - 4 gegužės, 2020 0

Piramidė

Drąsutė Jatkonienė - 27 vasario, 2014 0

Apskritimas liečiantis kampo kraštines

Drąsutė Jatkonienė - 19 gegužės, 2014 1

Dvigubos nelygybės. Sudarome ir išsprendžiame dvigubą nelygybę.

Loreta Kablytė - 18 lapkričio, 2014 0

Procentai ir kartai

Drąsutė Jatkonienė - 4 vasario, 2015 0
1...353637...46Nuo 46 36 puslapis

Apie Vaizdopamokos.lt

Esame nepelno siekianti organizacija, nemokamai teikianti aukščiausio lygio lietuvišką mokymosi turinį internete. Kuriame universalią mokymosi priemonę mokiniams, tėvams ir mokytojams.

Vaizdopamokos.lt užtikrina atvirą prieigą prie mokyklinių žinių, sprendžia mokymosi prieinamumo problemas, nevienodos ugdymo kokybės skirtingose mokyklose klausimus bei prisideda prie žinių visuomenės kūrimo.

Žiniasklaida apie Vaizdopamokos.lt

LRYTAS.LT
Vaizdo pamokas kuriantys lietuviai žada virtualią švietimo revoliuciją

DELFI.LT
Revoliucija moksle: licėjus bus prieinamas ir kaime

BERNARDINAI.LT
VaizdoPamokos.lt. Baigėsi laikai, kai kabinete mokytojai tarsi žyniai sėdėdavo

VEIDAS
http://www.veidas.lt/virtuali-svietimo-revoliucija-arteja

DIALOGAS
http://www.dialogas.com/laikrastis/mindaugas-breiva-formuojasi-nauja-mokymo-si-kultura/

"ŠVIETIMO NAUJIENOS"
Švietimo naujienų vasario numeris (PDF)

  • Mokytojams
  • Savanoriams
  • Apie projektą
  • Parama
©