Facebook
Youtube
Matematika
Lietuvių kalba
Anglų kalba
Prancūzų kalba
IT
Fizika
Dailė
Programavimas
Scratch programavimas
Python programavimas
C++ programavimas
Paieška
Facebook
Youtube
Mokytojams
Savanoriams
Apie projektą
Parama
Prisijungti
Sveiki atvykę! prisijunkite prie savo paskyros
Jūsų vardas
Jūsų slaptažodis
Forgot your password? Get help
Slaptažodžio grąžinimas
Atgauti savo slaptažodį
jūsų e-paštas
Slaptažodis bus elektroniniu paštu Jums.
Vaizdopamokos.lt – nemokamas korepetitorius
Matematika
Lietuvių kalba
Anglų kalba
Prancūzų kalba
IT
Fizika
Dailė
Programavimas
Scratch programavimas
Python programavimas
C++ programavimas
Pradžia
Mokytojai
Pamokos sukurtos Drąsutė Jatkonienė
Drąsutė Jatkonienė
199 PAMOKOS
0 KOMENTARAI
Tekstiniai uždaviniai
Drąsutė Jatkonienė
-
17 gruodžio, 2012
0
Funkcijų tyrimas
Drąsutė Jatkonienė
-
17 gruodžio, 2012
0
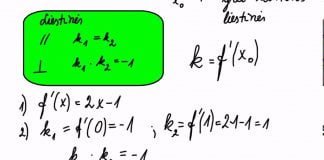
Funkcijos grafiko liestinė
Drąsutė Jatkonienė
-
15 lapkričio, 2012
0
Daugianario išvestinė
Drąsutė Jatkonienė
-
15 lapkričio, 2012
0
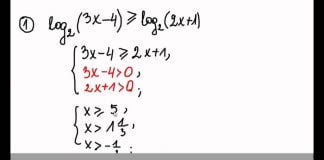
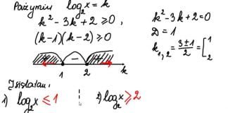
Logaritminės nelygybės (3 pamoka)
Drąsutė Jatkonienė
-
31 spalio, 2012
0
Logaritminės nelygybės (2 pamoka)
Drąsutė Jatkonienė
-
31 spalio, 2012
0
Trigonometrinės nelygybė ir vienetinis apskritimas
Drąsutė Jatkonienė
-
16 spalio, 2012
0
Trigonometrinės nelygybės
Drąsutė Jatkonienė
-
16 spalio, 2012
0
Logaritminės nelygybės (1 pamoka)
Drąsutė Jatkonienė
-
10 spalio, 2012
0
1
...
18
19
20
Nuo 20 20 puslapis